Книга памяти греков СССР, участников Великой Отечественной войны 1941–1945 гг.

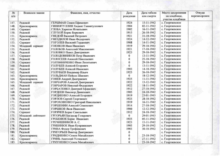
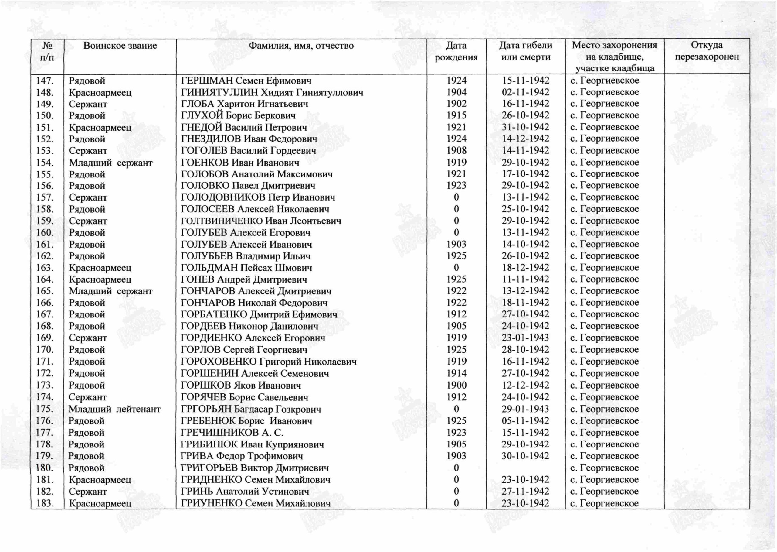
Гонев Андрей Дмитриевич

Фамилия: Гонев
Имя: Андрей
Отчество: Дмитриевич
Дата рождения: 1925; 1926
Место рождения: Российская СФСР,
Место призыва: Адлерский РВК, Краснодарский край, Адлерский р-н
Дата призыва: 1942
Воинское звание: Красноармеец
Воинская часть:

18 армия

Дата выбытия: Между 24.09.1942 и 25.10.1942; 06.10.1942; 11.11.1942
Причина выбытия: Умер от ран
Первичное место захоронения: Краснодарский край, Туапсинский р-н, г. Туапсе, 7 км, дорога Туапсе - Шаумян, цементный завод, щель влево от завода 400 м, кладбище, братская могила; Туапсинский р-н, западная зона с. Георгиевское
Гонев Андрей Дмитриевич
Донесение о безвозвратных потерях
Дата рождения: __.__.1925
Последнее место службы: 18 А
Воинская часть: 18 А
Дата выбытия: Между 24.09.1942 и 25.10.1942
Причина выбытия: умер
Первичное место захоронения: Краснодарский край, Туапсинский р-н, г. Туапсе, 7 км, дорога Туапсе – Шаумян, цементный завод, щель влево от завода 400 м, кладбище, братская могила
Информация об архиве –
Источник информации: ЦАМО
Фонд ист. информации: 58
Опись ист. информации: 818883
Дело ист. информации: 100

Добавить фотографии

Загрузите фотографии, после модерации они будут добавлены в анкету ветерана.

Имя *
Email *
Выберите фотографии на вашем устройстве *
Maximum file size: 10 MB
Описание *

Добавить информацию

Добавьте информацию, после модерации она будет опубликована в анкете ветерана.

Ваше имя *
Ваша эл. почта *
Информация о ветеране *

Добавить документ

Загрузите документы, после модерации они будут добавлены в анкету ветерана.

Имя *
Эл. почта *
Выберите файлы на вашем устройстве *
Maximum file size: 10 MB
Описание документов *